
Исследователи космоса
Тёмная энергия: новые грани осциллирующих полей
Автор: Денис Аветисян
Новая работа предлагает механизм ускоренного расширения Вселенной, основанный на колебаниях экзотических полей, схожих с аксионами.
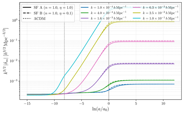
В рамках исследований обобщенных аксион-подобных моделей квинтэссенции, эволюция скалярных возмущений демонстрирует регулярное поведение в осциллирующем режиме, что приводит к подавлению возмущений плотности материи в не-осциллирующем случае и их отсутствию в осциллирующем, где динамика приближается к динамике ΛCDM-модели.
Исследование показывает, что стандартное приближение многокомпонентной жидкости неприменимо при моделировании осциллирующих аксион-подобных полей, но метрика сохраняет свою корректность.
Стандартное описание темной энергии часто сталкивается с трудностями при моделировании ее поведения в осциллирующем режиме. В работе «Dark energy driven by an oscillating generalised axion-like quintessence field» представлен детальный анализ космологических возмущений, вызванных осциллирующим полем аксион-подобной квинтэссенции. Показано, что привычное описание в виде эффективной жидкости оказывается несостоятельным, однако разработанный подход, основанный на прямом анализе поля, позволяет корректно описывать рост космических структур. Возможно ли с помощью предложенного метода получить более точные ограничения на параметры моделей темной энергии и природу ее осцилляций?
Тёмная энергия: ключ к расширению Вселенной
Ускоренное расширение Вселенной, обусловленное загадочной тёмной энергией, продолжает оставаться одной из главных проблем современной космологии. Для понимания природы этой силы необходимо установить взаимосвязь между её давлением и плотностью - так называемое уравнение состояния. Хотя простейшим объяснением является космологическая постоянная, предполагающая постоянную плотность энергии в пространстве, эта модель сталкивается с серьёзными теоретическими трудностями и требует чрезвычайно точной настройки параметров, что вызывает вопросы о её естественности. Определение точного уравнения состояния тёмной энергии позволит ученым отличить её от других возможных объяснений, таких как динамическая тёмная энергия или модифицированная гравитация, и пролить свет на судьбу Вселенной.
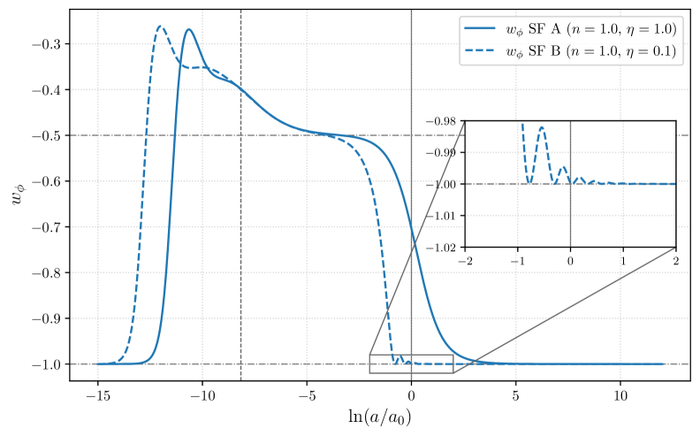
Эволюция обобщенной аксион-подобной квинтэссенции демонстрирует переход от доминирования излучения и материи к фазе ускоренного расширения, управляемой скалярным полем, при этом не-колебательный сценарий η=1 качественно отличается от колебательного сценария η=0.1 на поздних стадиях эволюции.
Тёмная энергия: динамичная альтернатива расширению Вселенной
В рамках моделей квинтэссенции, ускоренное расширение Вселенной объясняется не постоянной энергией, а динамическим скалярным полем. Это поле, подобно невидимому «ветру», наполняет пространство и обладает потенциальной энергией, которая и является движущей силой расширения. В отличие от концепции космологической постоянной, предполагающей неизменность темной энергии во времени, модели квинтэссенции допускают её изменение, что открывает возможность предсказания будущего поведения Вселенной. Изучение свойств этого скалярного поля, включая его форму и взаимодействие с другими компонентами Вселенной, имеет ключевое значение для понимания судьбы космоса и прогнозирования его эволюции в отдаленном будущем.
В обобщенных моделях аксион-подобной квинтэссенции наблюдается подавление спектра мощности материи при z=0 и эволюция sigma₈ f на низких красных смещениях, демонстрирующие значительное отклонение от ΛCDM в не-осциллирующем случае и поведение, близкое к ΛCDM в осциллирующем случае.
Замерзание и Оттаивание: Два Пути к Ускоренному Расширению Вселенной
Современные космологические модели, стремящиеся объяснить ускоренное расширение Вселенной, рассматривают два основных сценария, основанных на эволюции скалярного поля. В сценариях «замерзания» поле изначально изменяется быстро, но затем стабилизируется на постоянном значении, приближаясь к состоянию, близкому к так называемому пространству Де Ситтера - состоянию экспоненциального расширения. Для обеспечения устойчивости к различным начальным условиям, такие модели часто опираются на концепцию «отслеживающего решения», позволяющего полю адаптироваться к изменяющейся Вселенной. В противоположность этому, «оттаивающие» модели предполагают, что скалярное поле остается практически неизменным на протяжении большей части истории Вселенной, и лишь на поздних этапах начинает эволюционировать под влиянием так называемого «трения Хаббла» - эффекта, связанного с расширением пространства. Таким образом, оба подхода предлагают различные пути к объяснению наблюдаемого ускоренного расширения, различающиеся по времени начала и механизму доминирования скалярного поля.
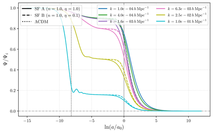
Анализ показывает, что в осцилляционном режиме происходит нарушение мультифлюидной модели, проявляющееся в расходимости диагностического параметра δphi/(1+wphi), однако это нарушение не распространяется на метрику, поскольку гравитационный потенциал остается хорошо определенным и близким к эволюции в не-осцилляционных моделях и в ΛCDM.
Изучение космической структуры: возмущения и их анализ
Для понимания формирования крупномасштабной структуры Вселенной используется теория возмущений, позволяющая исследовать небольшие отклонения от однородности космоса. В рамках этой теории, в частности с использованием так называемой Ньютоновской калибровки, анализируются изменения метрики пространства-времени и возмущения скалярных полей. Изучение этих возмущений позволяет проверить предсказания различных моделей квинтэссенции - гипотетических полей, объясняющих ускоренное расширение Вселенной - и установить ограничения на их параметры. По сути, исследователи стремятся понять, как мельчайшие колебания в ранней Вселенной привели к формированию галактик и скоплений галактик, которые мы наблюдаем сегодня, сопоставляя теоретические модели с наблюдаемыми данными.
Представленный график показывает точный обобщенный потенциал, подобный аксиону, V(φ)/V₀ = [1 - cos(φ/η)]⁻ⁿ, и его квадратичное приближение в окрестности минимума при φ/η = π для случая n=1, причем потенциал представлен в компактифицированной форме (V/V₀)/(1+V/V₀) для избежания расходимостей, а минимум потенциала соответствует значению (V/V₀)/(1+V/V₀) = 1/3.
Когда Многообразие Становится Проблемой: Новые Подходы к Моделированию Космологических Флуктуаций
Исследования показывают, что стандартные методы моделирования космологических возмущений, основанные на представлении Вселенной как смеси различных сред, могут приводить к нефизическим результатам, проявляющимся в виде «патологий», особенно вблизи ключевых точек изменения параметров. Эти проблемы возникают при анализе незначительных отклонений в плотности энергии, известных как скалярные возмущения. Для преодоления этих ограничений предложен новый подход, использующий более сложные модели скалярных полей, включающие так называемые аксион-подобные потенциалы. Это позволяет создать более реалистичную картину эволюции Вселенной и избежать нефизических сингулярностей, сохраняя при этом математическую корректность при описании изменений в структуре пространства-времени. В отличие от традиционных методов, данная методика обеспечивает устойчивость расчетов даже в тех случаях, когда стандартные модели дают сбой, что открывает новые возможности для изучения ранней Вселенной и темной энергии.
Представленный график показывает точный обобщенный потенциал, подобный аксиону, V(φ)/V₀ = [1 - cos(φ/η)]⁻ⁿ, и его квадратичное приближение в окрестности минимума при φ/η = π для случая n=1, причем потенциал представлен в компактифицированной форме (V/V₀)/(1+V/V₀) для избежания расходимостей, а минимум потенциала соответствует значению (V/V₀)/(1+V/V₀) = 1/3.
Исследование, представленное в статье, углубляется в сложный мир аксионных полей и их влияние на ускоренное расширение Вселенной. Авторы демонстрируют, что упрощённые модели, такие как многокомпонентное приближение, оказываются недостаточными для адекватного описания осциллирующих аксионных полей, в то время как метрика пространства-времени сохраняет свою устойчивость. Это напоминает о том, как легко наши теории могут столкнуться с ограничениями при столкновении с фундаментальными аспектами реальности. Как однажды заметил Стивен Хокинг: «Я боюсь, что люди будут видеть только то, что они хотят видеть». Эта фраза отражает суть работы - необходимость критического подхода к моделям и постоянного пересмотра упрощений, которые мы используем для понимания космоса.
Куда же всё это ведёт?
Представленная работа, как и многие другие, лишь аккуратно обходит горизонт событий, за которым скрываются настоящие трудности. Модель осциллирующих аксион-подобных полей, безусловно, элегантна, но не стоит забывать: удобство математического аппарата не всегда равнозначно близости к истине. Приближение многокомпонентной жидкости, как показано, даёт сбой, когда поле начинает активно колебаться. Это намекает на то, что привычные методы описания космологических возмущений могут оказаться недостаточными для понимания динамики тёмной энергии, если она действительно ведёт себя столь причудливо.
Будущие исследования, вероятно, потребуют более радикального пересмотра подхода к описанию возмущений. Возможно, потребуется отказаться от предположения о малости возмущений или искать способы включить нелинейные эффекты более последовательным образом. Или, что ещё более вероятно, нас ждет обнаружение новых, ещё более странных явлений, которые заставят переписать все существующие модели. Ведь, как известно, природа не любит, когда её загоняют в рамки чьих-то теорий.
В конечном счёте, данная работа служит напоминанием о том, что космология - это не поиск окончательных ответов, а бесконечный процесс постановки всё более сложных вопросов. Тёмная энергия - это не просто физическая проблема, это зеркало, отражающее границы человеческого познания. И чем дальше мы продвигаемся, тем яснее понимаем, как мало мы знаем.
Полный обзор с формулами: avetisyanfamily.com/tyomnaya-energiya-novye-grani-osczilliruyushhih-polej
Оригинал статьи: https://arxiv.org/pdf/2601.09803.pdf
Связаться с автором: linkedin.com/in/avetisyan
Про электричество в рамках моей теории
Обычная картина, которую нам рассказывают в школе и в учебниках: ток идёт по проводам ЛЭП, как вода по трубам, электроны двигаются от станции к потребителю, передавая энергию.
Но если смотреть через призму поля Ψ, всё переворачивается: поле Ψ повсюду, в том числе внутри и вокруг проводов ЛЭП. Оно та самая «энергетическая ткань». Когда на электростанции создаётся большой градиент напряжения (разность потенциалов), это создаёт очень сильный локальный градиент |Γ| в поле. Этот градиент вытягивает энергию из окружающего поля Ψ в провод. По проводу идёт не столько "ток электронов", сколько управляемый поток энергии из поля вдоль провода (нити в модели начинают вытягиваться и проводить энергию). Потребитель (лампочка, мотор, зарядка) это место, где происходит обратный процесс: энергия из поля выбрасывается в материальный слой (свет, тепло, движение).
Электростанция не генерирует энергию из ничего. Она создаёт огромный градиент - поле Ψ начинает «стекать» из окружающего пространства в провод - по проводу энергия доходит до дома, лампочка "выбрасывает" эту энергию в виде света и тепла.
Поэтому ток не движение зарядов по проводам, а управляемое высасывание энергии из поля Ψ и её направленный выброс в другом месте.
Как это работает в случае изолированного провода (например, кабель в пластиковой оболочке): поле пронизывает всё и существует везде: внутри провода, в изоляции, в воздухе вокруг, даже в вакууме. Оно не останавливается на пластике или резине. Изоляция просто материальный слой с очень низкой проводимостью (очень длинные/вязкие нити), но поле Ψ всё равно там есть.
Градиент создаётся не только в проводе. Когда включаются генератор, создаётся разность потенциалов (напряжение) между двумя концами линии ЛЭП. Этот потенциал не локально в металле, а во всём объёме поля Ψ вокруг провода. Получается огромный градиент |Γ| вдоль всей трассы — и он тянется через изоляцию, через воздух, через землю.
Энергия "высасывается" из поля вдоль трассы, поле реагирует на этот градиент: энергия начинает вытекать из окружающего пространства (войдов, воздуха, даже из земли) и течь вдоль линии наименьшего сопротивления - то есть вдоль металлического проводника. Изоляция не пропускает электроны (материальный слой), но не останавливает течение энергии в поле Ψ. Нити в пограничном слое вытягиваются параллельно проводу и проводят энергию вдоль него.
Трансформаторы в модели.
В привычной физике трансформатор - это устройство, которое передаёт энергию из одной цепи в другую через магнитное поле, изменяя напряжение и ток (закон Фарадея + взаимная индукция). В модели поля трансформатор работает совсем иначе: он не "передаёт" энергию через магнитное поле, а управляет высасыванием энергии и её направленным выбросом в нужное место. Всё происходит в ткани реальности, а провода и сердечник лишь "каналы" и "резонаторы" для этого процесса.
1. Что делает первичная обмотка: на первичную катушку подаётся переменное напряжение (например, 220 В, 50 Гц). Это создаёт сильный переменный градиент в поле Ψ внутри и вокруг катушки (изменяющаяся разность потенциалов = колебания |Γ|). Градиент «высасывает» энергию из окружающего поля Ψ (как насос тянет воду из озера). Энергия не "генерируется" в катушке, а втягивается из ткани реальности по всему объёму вокруг.
2. Роль сердечника: сердечник это материальный слой с очень высокой "плотностью нитей" (ферромагнетик — как жёсткий каркас нитей в поле Ψ). Он не просто "проводит магнитное поле", а направляет течение энергии из поля вдоль своей оси. Нити в сердечнике вытягиваются и "собирают" энергию, которую высосала первичная обмотка, и передают её дальше вторичной обмотке. Сердечник - труба в ткани реальности, энергия течёт по нему с минимальными потерями (потому что нити там длинные и упорядоченные).
3. Что происходит во вторичной обмотке: энергия, собранная сердечником, доходит до вторичной катушки. Там снова возникает градиент (теперь уже от внутренней энергии поля) - энергия выбрасывается в материальный слой в виде тока в нагрузке (лампочка горит, мотор крутится).
Если витков больше — градиент слабее -> напряжение выше, ток ниже (повышающий трансформатор). Если витков меньше — градиент сильнее -> напряжение ниже, ток выше (понижающий).
Почему трансформатор работает даже без прямого контакта? Поле Ψ везде и оно не нуждается в физическом соединении. Сердечник создаёт "коридор" в ткани реальности, энергия вынуждена течь именно через него (как вода течёт по каналу, даже если канал изолирован). Изоляция между обмотками не мешает, потому что энергия течёт не по проводам, а через поле.
Как работает обычная батарейка (щелочная, литий-ионная и т.д.) в модели Ψ.
Внутри батарейки два разных "сгустка" энергии, там есть два электрода: один с высокой концентрацией энергии в поле (анод, "положительный" полюс), другой с низкой (катод, "отрицательный" полюс). Между ними химический электролит (жидкость или гель), который создаёт локальный градиент в поле Ψ (разность плотности ρ).
Градиент "высасывает" энергию из поля, этот градиент работает как маленький "насос": он заставляет энергию из окружающего поля Ψ (из воздуха, стола, всего вокруг) втягиваться внутрь батарейки. Энергия не "хранится" в химических реакциях как в классической физике. Химия это просто способ создать и поддерживать большой градиент в поле Ψ. Пока градиент есть поле продолжает "высасывать" энергию из окружающей ткани реальности.
Когда подключаем нагрузку (лампочку, телефон), подключение проводов создаёт ещё один градиент от батарейки к нагрузке. Энергия, которую поле уже втянуло внутрь батарейки, теперь выбрасывается через провода в нагрузку - лампочка светит, телефон заряжается. Выброс энергии происходит в материальном слое (свет, тепло, движение).
Почему батарейка разряжается? Со временем химическая реакция ослабевает, градиент уменьшается. Когда градиент падает ниже порога, энергия перестаёт течь - батарейка "села".
Зарядное устройство создаёт обратный градиент (напряжение выше, чем у батарейки). Теперь энергия высасывается из розетки (из поля Ψ вокруг) и втягивается обратно в батарейку, восстанавливается градиент, химия "перезаписывается", чтобы снова держать высокую ρ на одном полюсе.
Как изготавливают ложемент в кресло "Казбек" для космонавтов
Делается это все на НПП «Звезда» - процедура - отливка ложемента.
Несколько раз ложишься в специальную «ванну», куда заливается медицинский гипс. Первые минуты тебя плотно вдавливают, чтобы не всплыл, потом отпускают, лежишь, не двигаясь, ещё несколько минут. Гипс застывает. Вылезаешь, переодеваешься, и так несколько раз (верхняя и нижняя части заливаются отдельно). Через полчаса гипс становится достаточно плотным и почти сухим, и ты примеряешься к получившейся гипсовой форме. Сначала в белье, потом в скафандре.
Специальными шпателями убираются все неровности
Зачем это нужно?
Нагрузки на тело во время перегрузок при выведении, спуске и, самое главное, в момент приземления — очень большие. В некоторых нештатных ситуациях могут превышать 10 единиц. Очень важно, чтобы тело плотно и комфортно лежало в ложементе кресла — тогда даже при сильных перегрузках и ударах можно избежать травм спины.
Почему делается заранее?
К дате старта всё снаряжение должно быть на Байконуре — на тот случай, если вместо основного экипажа полетит дублирующий. Тогда в корабль установят ложементы дублеров, и они в своих скафандрах будут готовы отправиться в полёт.
Вероятность полёта дублёров, по статистике, не превышает 5%. Но в российской пилотируемой космонавтике на этот случай всё всегда готово.
Параллельно снимают более 60 мерок, чтобы изготовить снаряжение для полёта.
Через несколько месяцев — повторный визит: примерка уже готового ложемента, скафандра и остального снаряжения.
АМС "Луна 1"
2 января 1959 состоялся пуск ракеты-носителя "Восток Л", и на траекторию полета к Луне был выведен АМС "Луна 1". Целью запуска было достижение поверхности естественного спутника, что не было достигнуто. Тем не менее, научная программа была выполнена, в том числе, осуществлены прямые замеры солнечного ветра, впервые зарегистрирован внешний радиационный пояс Земли, установлено отсутствие у Луны заметного магнитного поля. Также успешно проведен эксперимент по созданию искусственной кометы. Рассеянное 3 января, в 03:56 по Москве, облако паров натрия наблюдалось с Земли как звезда 6 величины в течение нескольких минут. Эксперимент подтверждал запуск и прохождение АМС возле Луны визуальными наблюдениями со значительной территории Европы.
На данный момент аппарат находится на орбите Солнца, является первым в истории рукотворным аппаратом достигшим второй космической скорости. Примерно в 2109 году должна вернуться к Земле, возможно будет прекрасным экспонатом в "Орбитальном музее освоения космоса".












